演習課題9 戻る
このファイルをダウンロードせよ。
こののファイルは圧縮されている。これを解凍(圧縮されたファイルを元に戻すこと)して、適当なフォルダに保存せよ。
この解凍されたファイルは, 20個のテキストデータファイルである。
ファイルの行数は各々異なるが、書式は同じである。これらは1989年から2008年まで20年間の一時毎の潮位である。またファイル名がその年を示している。
例えば1992年のデータは次のようになっている。
時刻の次の整数が潮位(mm)である。
#Record of Sealevel(mm)
#Location No 21
#Location Okinawa
#TimeZone +09:00(JST)
#Broken or No transmit data "-999"
#No Date Hour Sealevel(mm) Datum_constant(mm) Height_of_the_fixed_point(mm)
21 1992/01/01 00 1484 5000 2748
21 1992/01/01 01 1697 5000 2748
21 1992/01/01 02 1939 5000 2748
21 1992/01/01 03 2181 5000 2748
21 1992/01/01 04 2357 5000 2748
21 1992/01/01 05 2440 5000 2748
21 1992/01/01 06 2419 5000 2748
21 1992/01/01 07 2318 5000 2748
21 1992/01/01 08 2179 5000 2748
21 1992/01/01 09 2060 5000 2748
21 1992/01/01 10 1997 5000 2748
これらのファイルを開き、次のプログラムを書け。
(1)欠測データは各年何個ずつあるか。
(2) 欠測データを除いた潮位データの1989年から2008年までの各年の平均値を求めよ。
(3) 欠測データを除いた潮位データの1989年から2008年までの各年の標準偏差を求めよ。
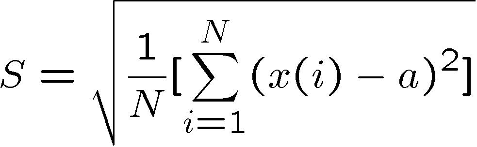
標準偏差Sは次のような式で表される。

ここでNは(欠測ではない)データの個数, x(i) (i=1,...,N)は(欠測ではない)データ, aはN個のデータの平均値である。
*演習問題9の例にあるように、DOループを用いて順番にファイルをオープンすること。
*ファイルのオープンはsubroutine文で行うこと(演習問題9参照)
*演習問題9をできる限り参照すること。
*各ファイルのはじめの6行(#で始まる行)を除き、新たなファイルを作成してもよい。
(その方がプログラム作成が簡単)
*(1)から(3)のプログラムは一つにまとめても、別々でも良い。
*(1)から(3)の答えはメール本文につけて提出せよ。答えの書き方の形式は読み手がわかるならば, どんな形でも良い。プログラムは, 添付ファイルまたはメール本文につけて提出せよ。
この潮位データは、国土地理院の潮位データをダウンロードしたものです。